Notigape

Reporta SST 220 nuevos casos de COVID-19 y pide respetar medidas de protección sanitaria

Por: Staff NotiGape
04/09/2020 15:51
Reporta SST 220 nuevos casos de COVID-19 y pide respetar medidas de protección sanitaria
Reporta SST 220 nuevos casos de COVID-19 y pide respetar medidas de protección sanitaria
Reporta SST 220 nuevos casos de COVID-19 y pide respetar medidas de protección sanitaria
1/3

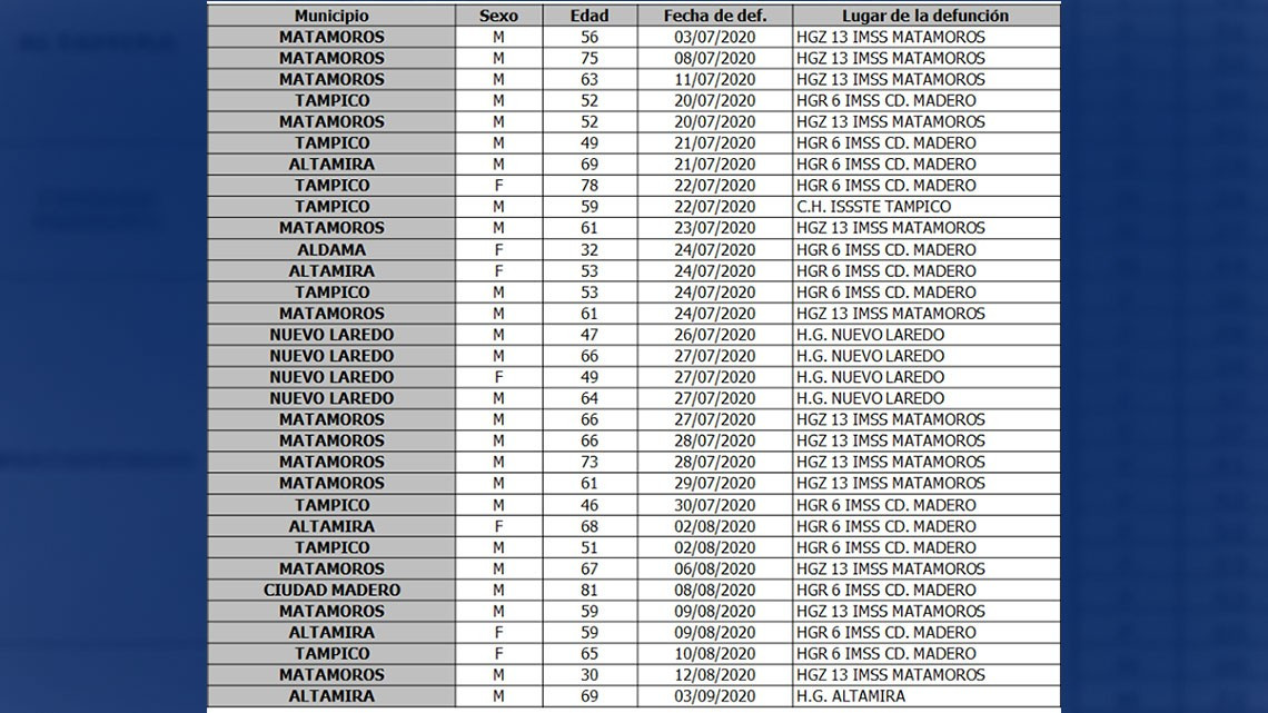
Tamaulipas sumó este viernes 220 casos del nuevo coronavirus y registró 32 fallecimientos asociados a la enfermedad, informó la secretaria de Salud, Gloria Molina Gamboa luego de señalar que aunque la curva epidemiológica continúa su proceso a la baja, el riesgo de contagio sigue siendo alto.

Desde el centro de mando COVID, la titular de la SST exhortó a la población a seguir las medidas de prevención emitidas por el Gobierno para limitar daños a la salud.

Dijo que con la actualización, la cifra oficial asciende a 25,547 positivos acumulados, de los cuales 20,604 se han recuperado y 1,921 han sido defunciones.

Molina Gamboa fue reiterativa en su llamado a evitar salidas innecesarias y respetar todas las medidas de seguridad sanitaria como el lavado frecuente de manos, la sana distancia, estornudo de etiqueta, limpieza y desinfección de objetos y superficies de uso común, principalmente.

Notas Relacionadas

Oncológicos